Estimates variance based on a sample. In addition to numbers, text and logical values such as TRUE and FALSE are included in the calculation.
Syntax
VARA(value1,value2,...)
Value1,value2,...    are 1 to 30 value arguments corresponding to a sample of a population.
Remarks
-
VARA assumes that its arguments are a sample of the population. If your data represents the entire population, you must compute the variance using VARPA.
-
Arguments that contain TRUE evaluate as 1; arguments that contain text or FALSE evaluate as 0 (zero). If the calculation must not include text or logical values, use the VAR function instead.
-
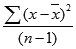
VARA uses the following formula:
Example
Suppose 10 tools stamped from the same machine during a production run are collected as a random sample and measured for breaking strength.
|
St1 |
St2 |
St3 |
St4 |
St5 |
St6 |
St7 |
St8 |
St9 |
St10 |
Formula |
Description (Result) |
|
1345 |
1301 |
1368 |
1322 |
1310 |
1370 |
1318 |
1350 |
1303 |
1299 |
=VARA([St1], [St2], [St3], [St4], [St5], [St6], [St7], [St8], [St9], [St10]) |
Estimates the variance for the breaking strength (754.2666667) |