Returns the gamma distribution. You can use this function to study variables that may have a skewed distribution. The gamma distribution is commonly used in queuing analysis.
Syntax
GAMMADIST(x,alpha,beta,cumulative)
XÂ Â Â Â is the value at which you want to evaluate the distribution.
Alpha    is a parameter to the distribution.
Beta    is a parameter to the distribution. If beta = 1, GAMMADIST returns the standard gamma distribution.
Cumulative    is a logical value that determines the form of the function. If cumulative is TRUE, GAMMADIST returns the cumulative distribution function; if FALSE, it returns the probability mass function.
Remarks
-
If x, alpha, or beta is nonnumeric, GAMMADIST returns the #VALUE! error value.
-
If x < 0, GAMMADIST returns the #NUM! error value.
-
If alpha ≤ 0 or if beta ≤ 0, GAMMADIST returns the #NUM! error value.
-
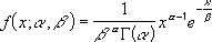
The equation for the gamma distribution is:
The standard gamma distribution is:
-
When alpha = 1, GAMMADIST returns the exponential distribution with:
-
For a positive integer n, when alpha = n/2, beta = 2, and cumulative = TRUE, GAMMADIST returns (1 - CHIDIST(x)) with n degrees of freedom.
-
When alpha is a positive integer, GAMMADIST is also known as the Erlang distribution.
Examples
|
X |
Alpha |
Beta |
Formula |
Description (Result) |
|
10 |
9 |
2 |
=GAMMADIST([X],[Alpha],[Beta],FALSE) |
Probability gamma distribution of the arguments (0.032639) |
|
10 |
9 |
2 |
=GAMMADIST([X],[Alpha],[Beta],TRUE) |
Cumulative gamma distribution of the arguments (0.068094) |